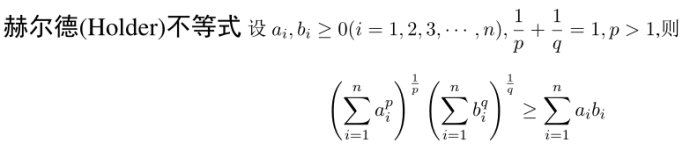
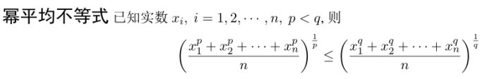
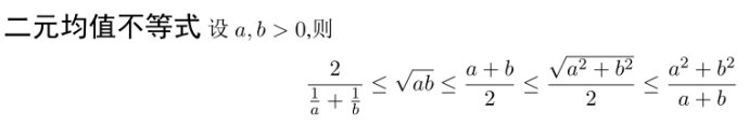
几个著名不等式
来源:金玉米 编辑:雪茄
时间:2015-07-03










上一篇:红楼梦人物关系表
下一篇:世界名著的开头总是耐人寻味
服务号:金玉米
(官方消息发布)
订阅号:金玉米
(八卦奢侈品,解码大牌潮流趋势,揭秘时尚大咖撕逼内幕)